Situația hidrologică pe râuri și Dunăre în intervalul 06.11.2025 ora 07.00 – 07.11.2025 ora 07.00
RÂURI
Debitele au fost în general, staționare, exceptând râurile din bazinele hidrografice Vișeu și Iza, unde au fost în ușoară scădere.
Debitele se situează la valori sub mediile multianuale lunare, cu coeficienți moduli cuprinși între 30-80%, mai mari (in jur si peste mediile lunare) pe unele râuri din bazinul superior al Bistriței, pe cursul inferior al Argeșului, cursul superior și mijlociu al Prahovei, pe unii afluenți din bazinul mijlociu al Oltului și mai mici (sub 30%) pe râurile din bazinele hidrografice: Crasna, Barcău, Crişul Negru, Crişul Alb, Timiș, Bârzava, Moravița, Nera, Cerna, Bârlad, Lotru, bazinul inferior al Jiului, afluenții Prutului și pe unii afluenți din bazinul inferior al Oltului și din bazinul superior al Argeșului.
Nivelurile pe râuri la stațiile hidrometrice se situează sub COTELE DE ATENȚIE.
DUNĂRE
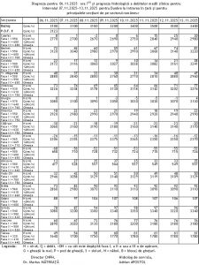
Debitul la intrarea în țară (secțiunea Baziaș) în intervalul 06.11 – 07.11.2025 a fost staționar (3100 m3/s), sub media multianuală a lunii noiembrie (4650 m3/s).
În aval de Porțile de Fier debitele au fost în scădere pe sectorul Gruia – Tr. Măgurele și în creștere pe sectorul Zimnicea – Tulcea.
Prognoza hidrologică pe râuri și Dunăre în intervalul 07.11.2025 ora 07.00 – 08.11.2025 ora 07.00
RÂURI
Debitele vor fi în general, staționare, exceptând râurile din bazinele hidrografice Vișeu și Iza, unde vor fi în ușoară scădere și râurile din bazine hidrografice Nera, Cerna, Jiu și afluenții din bazinul inferior al Oltului unde vor fi un ușoară creștere datorită precipitațiilor prognozate.
Sunt posibile creșteri ușoare de niveluri și debite, pe unele râuri mici din zonele de deal și munte din sudul- vestul țării, ca urmare a precipitațiilor prognozate.
Nivelurile pe râuri la stațiile hidrometrice se vor situa sub COTELE DE ATENȚIE.
DUNĂRE
Debitul la intrarea în țară (secțiunea Baziaș) va fi staționar (3100 m3/s).
În aval de Porțile de Fier, debitele vor fi în scădere pe sectorul Gruia – Giurgiu şi în creştere pe sectorul Oltenița – Tulcea.



